はじめに
本番で解けなかった問題を解いてみます。今回は問1です。この問題で問われていることは
- 確率分布の和
- 条件付き確率分布
です。似たような問題ないかなぁと調べてみるとなんと、アクチュアリーの昭和39年数学1の問3にほぼ同じような問題があったので、これを見つつ今回の問題を解いてみることにしました。
問題を解く
以下、
- λ1 : 3
- λ2: 2
- Z : 4
を代入すると記述1〜記述4の解となります。
ポアソン分布の性質
ポアソン分布は、
- 平均 : λ
- 分散 : λ
です。
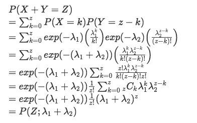
ポアソン分布に従う確率変数の和の分布
の時、
が従う分布を求めます。
(はてなのmathjax記法がエラるので画像にて。。)

となるので、

が和の分布となる(ポアソン分布の再生性が確認できた)。よって、和の分布は
- 平均 : λ1 + λ2
- 分散 : λ1 + λ2
となる。
条件付き確率分布
求めるのは、

という確率分布である。計算すると、

となるので、この条件付き確率分布は二項分布となる。
したがって、平均値は

となる。